长期服奥氮平的副作用有哪些?对血糖、血脂有何影响?
<{股票配资}>长期服奥氮平的副作用有哪些?对血糖、血脂有何影响?{股票配资}>
奥氮平属于精神类药物,临床上主要用于对于精神分裂症的治疗和用于重度躁狂的病人,服用奥氮平有效的躁狂症患者,长期服用本药物,还可预防双向情感障碍的作用。
长期服用奥氮平副作用,主要包括:
1. 体重增加:服用奥氮平会导致体重增加,特别是在长期服用的患者身上,长期服用患者体重增加超过正常体重的25%以上的几率为10%。
2. 血糖的影响:长期服用奥氮平,可能会导致糖耐量的异常,导致血糖升高的情况出现。研究表明长期服用奥氮平可导致糖化血红蛋白的升高,但6个月后,平均血糖增长率会有所减缓。
3. 血脂的影响:临床试验证明,长期服用奥氮平可能会使低密度脂蛋白升高,总胆固醇的量也会有所升高长期服奥氮平的副作用有哪些?对血糖、血脂有何影响?,但如果停服药物后,4~6个月,可逆转。
4. 催乳素影响:长期服用奥氮平可能会导致催乳素的升高,特别是有月经不调症状的患者,但一般程度较轻。
5. 除了上述不良反应,还可能出现的不良反应有:嗜睡、体位性低血压、运动障碍,口感、便秘,肝药酶升高、光敏反应等不良反应。
因此,对于糖尿病患者要慎用奥氮平,注意引起酮症酸中毒或昏迷的风险。
服药期间,应当注意摔倒的危险,不要进行操作机器、驾驶等可能因瞌睡而发生危险的活动。
下面,我们来详细的了解一下奥氮平吧!
【背景及概述】
奥氮平( ,商品名:再普乐,Zyp rexa) ,化学名称:2-甲基- 4- ( 4-甲基-1-哌嗪基)- 10H-噻吩并[2,3- b][1,5]-苯二氮杂卓[1]。其是一种全新型的非典型抗精神病药,属于噻嗯苯并二嗪类衍生物,用于精神分裂症和其他有严重阳性症状和/或阴性症状的精神病的急性期和维持治疗,作用于中枢神经系统,具有5-HT2 和多巴胺D2 双重拮抗作用奥氮平的代谢,由美国礼莱公司开发,1996 年在美国上市,1998 年首次获准进入我国市场,与氟哌啶醇( ) 等抗精神病药物相比,临床疗效好,锥体外不良反应小,已被广泛用于多种精神疾病的临床治疗,2003 年被《中国精神分裂症防治指南》列为一线用药,2004 年全球销售额达到4412亿美元。奥氮平系噻吩苯二氮卓类五羟色胺/多巴胺( 5-HT /DA) 拮抗剂,与5-HT2 受体的结合力强于与D2 受体的结合力,且选择性作用于中脑边缘多巴胺能通路奥氮平自1996年临床应用以来,能有效改善精神病理学的各个方面,提高病人的生活质量奥氮平的代谢,且副作用较少,成为治疗精神病性障碍最具有希望的药物之一。
奥氮平对精神分裂症的阳性、阴性、情感症状及其他相关障碍均有较好疗效,不良反应少且轻微、服用方便,病人依从性高,有望替代典型抗精神病药成为治疗精神病性症状和情感症状的临床一线用药,但它价格较昂贵,目前还难于为多数病人接受。目前有一些短篇报道初步显示,奥氮平可用于治疗药物所致的精神障碍、持续或反复发作的病理性攻击行为、抽动秽语综合征及普遍性发育障碍的精神症状和异常行为。
【适应症】
精神分裂症,中、重躁狂发作。
【规格】
片剂:2.5mg;5mg;7.5mg;10mg。
【用法用量】
1. 精神分裂症:初始剂量为1次10mg,一日1次。以后按需要调整用量,剂量可调整至一日5~ 20mg,剂量调整间隔不少于24h。
2. 急性躁狂发作:单独用药起始剂量为一日15mg,合并治疗时一日10m
3. 预防双向情感障碍复发:初始剂量为一日10mg。
4. 严重肾功能损害者,起始量为5mg,慎重加量。
【药理作用】
奥氮平对多种神经递质受体具有亲和力。对多巴胺(D)D1,D2,D4;5-羟色胺(5-HT)5-HT2A,5-HT2C;组胺H1;肾上腺素α1 和M1 受体具有很强的亲和力,对D3 和5-HT3 受体亲和力略低。奥氮平的受体结合特性与氟哌啶醇相反。氟哌啶醇对多巴胺受体亲和力强,而对5-HT 和M1 受体亲和力弱。奥氮平的多种受体作用谱与氯氮平相似,唯一不同的是氯氮平对肾上腺素α2 受体亲和力较高。同样奥氮平对大鼠脑中局部磷酸化蛋白(c-fos)基因表达的影响模式也与氯氮平相似,但不完全相同,提示奥氮平的疗效可能类似于氯氮平。
【药代动力学】
实验证明,奥氮平的口服吸收良好,约80 %经肠道吸收进入血液循环,不受饮食结构和种类的影响,Tmax为6 .3 h ,服6 mg 时Cmax 为9 .7 μg/L。在循环系统中主要与酸性糖蛋白结合,蛋白结合率为93 %。在健康年轻人中,清除T1/ 2为27~38 .6h ,老年人显著长于青年人,女性显著长于男性。5~7 d 达稳态浓度。细胞色素P-450 的同功酶 和 参与了奥氮平的氧代谢产物的形成,但据计算,奥氮平0 .2 μmol/L时对这些同功酶的抑制
【药物相互作用】

1. P450细胞色素异体,特别是长期服奥氮平的副作用有哪些?对血糖、血脂有何影响?,的抑制剂和诱导剂分别可延缓和缩短奥氮平的清除率。
2. 吸烟和卡马西平可增加奥氮平的清除率。
3. 下列药物和单剂量奥氮平合并用药,未见代谢抑制:丙米嗪及其代谢产物去甲丙米嗪、华发令、茶碱或安定。
4. 奥氮平和锂盐、双环哌丙醇合并用药时没有交互作用。
5. 单剂量含铝或镁的抗酸剂、西米替丁对奥氮平的生物利用度没有影响,而合并使用活性炭可降低奥氮平的生物利用度50~60%。
【不良反应】
1. 常见嗜睡和体重增加。
2. 少见头晕、食欲亢进、外周水肿、直立性低血压、嗜酸性粒细胞增多、急性或迟发性锥体外系运动障碍(包括帕金森病样症状、静坐不能、肌张力障碍)、一过性抗胆碱能作用(包括口干和便秘)。
3. 偶见一过性ALT 和AST 升高。偶见血液学改变。
4. 罕见血浆催乳素升高,绝大多数患者无须停药激素水平即可恢复至正常范围。罕见光敏反应、肌酸磷酸激酶升高。
【注意事项】
1. 前列腺增生者、麻痹性肠梗阻患者、各种原因引起的白细胞(或中性粒细胞)降低者、有惊厥发作史慎用。
2. 用药前后及用药时应监测肝功能、白细胞计数。
3. 18周岁以下患者不宜使用本药。
4. 妊娠期妇女用药时应权衡利弊;哺乳期妇女用药时应停止哺乳。
【制备】
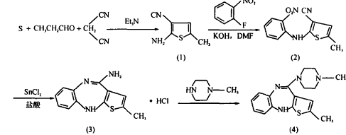
以丙二腈、丙醛、硫为原料缩合制得2-氨基-3-氰基- 5-甲基噻吩,再与邻硝基卤苯缩合制得2-(2-硝基苯胺基)-3-氰基-5-甲基噻吩,经还原并关环后制得盐酸盐,与哌嗪缩合后,再N-甲基化得到奥氮平。

【主要参考资料】
田红军, 冯志颖, 张新军. 新型抗精神病药奥氮平的临床应用. 中国新药与临床杂志, 2002, 21(10): 622-627.
李华杰, 吴爱勤. 奥氮平的药理学及临床应用. 临床精神医学杂志, 2001, 11(2): 114-117.
高敏, 张宇驰, 卢苗苗, 等. 奥氮平合成工艺的研究. 化工时刊, 2011 (9): 28-30.
北京地区医疗机构处方集·西药分册
奥氮平片说明书
方频, 高建荣, 贾建洪, 等. 奥氮平合成新工艺研究. 浙江工业大学学报, 2008, 36(1): 16-19.








